低温会影响到细胞正常的生理功能,甚至造成细胞的破裂死亡,影响植物的生长发育或导致植物死亡。这些均与植物的水分状态密切相关。为什么很多耐寒性植物能在低温下长期正常生存?它们内部水分到底是何种状态?

温带多年生草本植物中,越冬能力主要取决于根部而非顶部的非结构性碳水化合物的浓度。相反,热应激也是夏季限制牧草生长的主要因素。
植物体内的水分有自由水和结合水两种。所谓”结合水”,仅仅看其化学组成,和自由水没有太大的区别,只是自由水的分子排列顺序相对凌乱,可以到处流动,而结合水的分子却在植物组织周围排列得十分整齐,和植物组织亲密地”结合”在一起。
结合水的性质和自由水的区别很大,比如自由水在摄氏零度就开始结冰,但结合水却比普通水的结冰温度低得多。寒冷的冬天,植物体内减少的只是自由水,而结合水的量却保持不变,这样结合水所占的比例反而提高了。由于结合水的结冰温度要比摄氏零度低得多,因此耐寒植物当然就可以在严冬中傲视冰霜了。
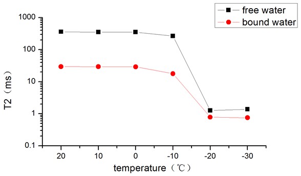
低场核磁共振可以无损测定水的状态变化, T1 弛豫时间和 T2 弛豫时间反映了水分子的运动而被用作生物组织中水动态的指标。由于细胞相关水的流动性和特性与细胞状况密切相关,因此核磁共振成像代表了组织的生理图谱,可用于研究细胞代谢的水动力学。

(1) T2 弛豫时间图表明,水的状态反映了叶和根的耐寒性和耐热性;
(2)根叶的水分含量和水分受限程度与 T2 弛豫时间相关;
(3)通过测定 T2 弛豫时间可以说明叶子在-20℃、根在-10℃具有过冷能力;
(4)叶片中水更低的流动性可能在对温度胁迫的响应中发挥重要作用。
(5)核磁共振成像可以反映出不同组织的冻结情况。
电话:400-060-3233
售后:400-060-3233
返回顶部