水凝胶是一种应用前景非常广阔的高分子材料,但是绝大多数的水凝胶由于水分含量过高,导致水凝胶只能在较窄的温度范围内工作。在零度以下时,水凝胶的物理化学性质会发生剧烈变化,冰晶的形成破坏了网络结构,导致水凝胶由韧性转变脆性,并使得水凝胶的透明度降低,从而限制了水凝胶的应用。发展具有抗冻性能和低温力学性能的水凝胶是一项具有前景的研究。水凝胶中的水分子根据其与聚合物网络的相互作用强度,可以分为结合水和自由水。其中,自由水的存在导致水凝胶在低温条件下(大约-10℃时)发生冻结。为了降低凝胶中“自由水”的冷冻温度,通常使用一些低温保护剂(如无机盐和有机溶剂)混入水凝胶中,以保证水凝胶在低温下不冻结。

目前只能用一些常规的力学方法来表征水凝胶抗冻能力,该方法操作较为繁琐且对材料具有破坏性,使用星空登录官网生产的低场核磁变温分析仪VTMR20-010V-I可以对水凝胶的抗冻性能做出很好的表征,该方法通过测试水凝胶中不同水的状态去表征水凝胶的抗冻能力,该测试方法原位无损,且方便快捷。
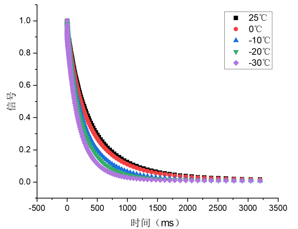
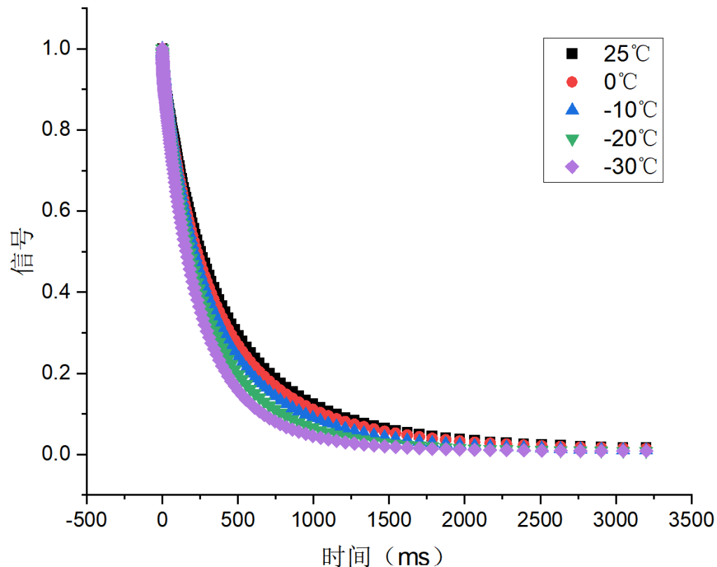
针对添加了不同盐含量的三种水凝胶样品a、b、c,其盐含量添加量依此升高,首先对其进行了不同温度下的弛豫行为分析,测试温度为依此为25℃、0℃、-10℃、-20℃、-30℃。



图1:样品a、b、c的弛豫行为
三种样品的弛豫行为类似,随着温度的降低,水凝胶中自由水的活动会越来越弱,导致弛豫越来越快,从三张图中可以看出,样品c的弛豫变化相较于a、b不明显,说明随着盐含量的增加,样品c中自由水受到温度变化产生的影响较样品a、b明显变少,也证明了样品c的抗冻性能力较a、b更强。
接着对该弛豫曲线进行反演,能够获知水凝胶中自由水、中间水、结合水的比例。

自由水的比例变化决定了水凝胶的抗冻性能,不同温度下自由水比例变化越小,水凝胶越抗冻。从图表中可以看出,随着温度的降低,样品c中的自由水含量变化是最小的,也证明了样品c的抗冻能力较a、b来说更强。
如您对以上应用感兴趣,欢迎咨询:15618037925
电话:400-060-3233
售后:400-060-3233
返回顶部